机械密封的摩擦功率消耗
机械密封的摩擦功率消耗:
机械密封在工作时,主要摩擦热的来源一方面是端面密封副在摩擦过程中产生的摩擦热,另一方面是旋转元件在被密封介质中摩擦产生的搅拌热。可知,机械密封的总摩擦功耗N应包括端面密封副的摩擦功耗Nf和搅拌功耗Na。即:
![]()
端面密封副的摩擦功耗Nf可通过下式计算
![]()
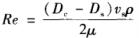
而搅拌功耗Na的计算与密封腔内被密封介质的流动状态有关,可根据决定流体流动状态的雷诺数的大小分层流和紊流进行讨论。雷诺数的计算公式为
![]()
式中
密封腔内径,m;
密封外径,m;
密封外圆周速,m/s;
被密封介质的密度,kg/立方米;
液体动力黏度,Pa·s。
当雷诺数Re>2000时,流体处于紊流状态。当被密封介质的黏度较大![]()
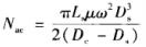
时,层流的搅拌功率消耗为
![]()
紊流的搅拌功率消耗为
![]()
式中L--密封旋转件的长度,m。
如果将密封看做是密封腔内--旋转圆筒时,可通过下式來确定密封副的搅拌功耗
![]()
式中Cm为不同流态的损失系数,各种流态下其表达式见表1-20。
表1-20不同流态的损失系数Cm的表达式

国标103机械密封
本文源自http://www.jhjxmf.com/news/540.html,转载请注明出处。
(责任编辑:机械密封http://www.jhjxmf.com)
上一篇:机械密封的泄漏量 下一篇:机械密封摩擦热与循环(冲洗)量
- 上一篇:机械密封的泄漏量
- 下一篇:机械密封摩擦热与循环(冲洗)量
机械密封热门文章
机械密封文章推荐
最新资讯
- 2023-07-04· 机械密封的保养与维修方法
- 2023-06-30· 机械密封的保养与维修方法
- 2023-06-29· 机械密封的运行原理及其特点
- 2023-06-29· 机械密封的密封材料与密封性
- 2023-06-28· 机械密封的安装及维护方法
- 2023-06-26· 机械密封的密封原理及其应用
联系我们
浙江生产基地:浙江嘉善环城东路硅谷开发区(赤盾科技园)
嘉兴销售及技术支持中心:嘉兴市环北西路经济开发区
国内24小时销售人员电话:15990310020
国内24小时技术支持:13917573091
电子邮件:1050760236@qq.com
即时聊天工具:QQ: 1050760236
微信:15990310020
网址:www.jhjxmf.com



